Content Navigation

Horseback riding offers a unique blend of adventure and connection with nature, but it also comes with inherent risks that riders must acknowledge. Before engaging in this activity, participants are required to sign a Release and Waiver of Liability, which outlines the potential dangers involved. Riders must understand that horses can behave unpredictably, leading to serious injuries or even fatalities. This agreement emphasizes the importance of assuming personal responsibility for these risks. It also releases the stable and its employees from any legal claims related to injuries sustained during riding. Additionally, riders are encouraged to wear protective gear, such as helmets, to enhance their safety. The document serves as a binding contract, ensuring that all parties are aware of their rights and responsibilities. Understanding these aspects is crucial for anyone considering horseback riding, as it allows them to make informed decisions while enjoying the experience.

Horse Riding Example

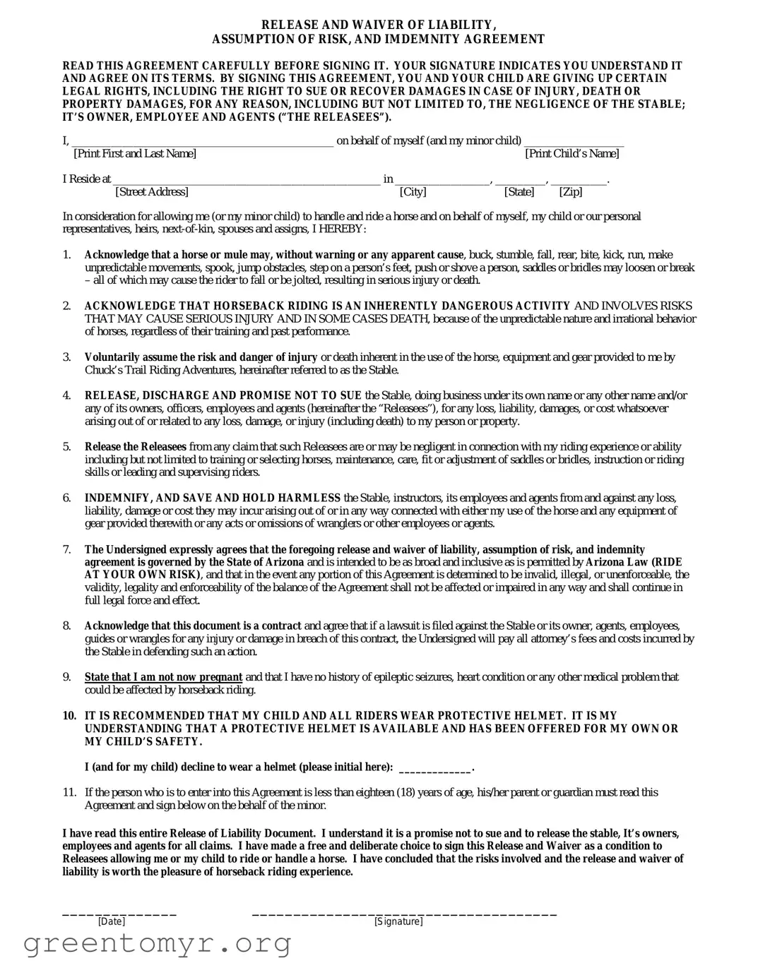
RELEASE AND WAIVER OF LIABILITY,

ASSUMPTION OF RISK, AND IMDEMNITY AGREEMENT

READ THIS AGREEMENT CAREFULLY BEFORE SIGNING IT. YOUR SIGNATURE INDICATES YOU UNDERSTAND IT AND AGREE ON ITS TERMS. BY SIGNING THIS AGREEMENT, YOU AND YOUR CHILD ARE GIVING UP CERTAIN LEGAL RIGHTS, INCLUDING THE RIGHT TO SUE OR RECOVER DAMAGES IN CASE OF INJURY, DEATH OR PROPERTY DAMAGES, FOR ANY REASON, INCLUDING BUT NOT LIMITED TO, THE NEGLIGENCE OF THE STABLE; IT’S OWNER, EMPLOYEE AND AGENTS (“THE RELEASEES”).

I, _______________________________________________ on behalf of myself (and my minor child) __________________

[Print First and Last Name][Print Child’s Name]

I Reside at ________________________________________________ in _________________, _________, __________.

[Street Address]

[City]

[State]

[Zip]

In consideration for allowing me (or my minor child) to handle and ride a horse and on behalf of myself, my child or our personal representatives, heirs, next-of-kin, spouses and assigns, I HEREBY:

1.Acknowledge that a horse or mule may, without warning or any apparent cause, buck, stumble, fall, rear, bite, kick, run, make unpredictable movements, spook, jump obstacles, step on a person’s feet, push or shove a person, saddles or bridles may loosen or break

– all of which may cause the rider to fall or be jolted, resulting in serious injury or death.

2.ACKNOWLEDGE THAT HORSEBACK RIDING IS AN INHERENTLY DANGEROUS ACTIVITY AND INVOLVES RISKS THAT MAY CAUSE SERIOUS INJURY AND IN SOME CASES DEATH, because of the unpredictable nature and irrational behavior of horses, regardless of their training and past performance.

3.Voluntarily assume the risk and danger of injury or death inherent in the use of the horse, equipment and gear provided to me by Chuck’s Trail Riding Adventures, hereinafter referred to as the Stable.

4.RELEASE, DISCHARGE AND PROMISE NOT TO SUE the Stable, doing business under its own name or any other name and/or any of its owners, officers, employees and agents (hereinafter the “Releasees”), for any loss, liability, damages, or cost whatsoever arising out of or related to any loss, damage, or injury (including death) to my person or property.

5.Release the Releasees from any claim that such Releasees are or may be negligent in connection with my riding experience or ability including but not limited to training or selecting horses, maintenance, care, fit or adjustment of saddles or bridles, instruction or riding skills or leading and supervising riders.

6.INDEMNIFY, AND SAVE AND HOLD HARMLESS the Stable, instructors, its employees and agents from and against any loss, liability, damage or cost they may incur arising out of or in any way connected with either my use of the horse and any equipment of gear provided therewith or any acts or omissions of wranglers or other employees or agents.

7.The Undersigned expressly agrees that the foregoing release and waiver of liability, assumption of risk, and indemnity agreement is governed by the State of Arizona and is intended to be as broad and inclusive as is permitted by Arizona Law (RIDE AT YOUR OWN RISK), and that in the event any portion of this Agreement is determined to be invalid, illegal, or unenforceable, the validity, legality and enforceability of the balance of the Agreement shall not be affected or impaired in any way and shall continue in full legal force and effect.

8.Acknowledge that this document is a contract and agree that if a lawsuit is filed against the Stable or its owner, agents, employees, guides or wrangles for any injury or damage in breach of this contract, the Undersigned will pay all attorney’s fees and costs incurred by the Stable in defending such an action.

9.State that I am not now pregnant and that I have no history of epileptic seizures, heart condition or any other medical problem that could be affected by horseback riding.

10.IT IS RECOMMENDED THAT MY CHILD AND ALL RIDERS WEAR PROTECTIVE HELMET. IT IS MY UNDERSTANDING THAT A PROTECTIVE HELMET IS AVAILABLE AND HAS BEEN OFFERED FOR MY OWN OR MY CHILD’S SAFETY.

I (and for my child) decline to wear a helmet (please initial here): _____________.

11.If the person who is to enter into this Agreement is less than eighteen (18) years of age, his/her parent or guardian must read this Agreement and sign below on the behalf of the minor.

I have read this entire Release of Liability Document. I understand it is a promise not to sue and to release the stable, It’s owners, employees and agents for all claims. I have made a free and deliberate choice to sign this Release and Waiver as a condition to Releasees allowing me or my child to ride or handle a horse. I have concluded that the risks involved and the release and waiver of liability is worth the pleasure of horseback riding experience.

______________ _____________________________________

[Date]

[Signature]

File Breakdown

Fact Name Details
Release of Liability This agreement releases the stable and its employees from liability for injuries or damages incurred during horseback riding.
Assumption of Risk Participants acknowledge that horseback riding is inherently dangerous and involves risks that can lead to serious injury or death.
Indemnification Clause The participant agrees to indemnify the stable and its employees against any claims arising from their riding experience.
Governing Law This agreement is governed by the laws of the State of Arizona, which permits broad liability waivers.
Helmet Recommendation It is recommended that all riders wear protective helmets for safety, which are available at the stable.
Medical Disclosure Participants must declare any medical conditions that could affect their ability to ride safely.
Minor Riders Parents or guardians must sign the waiver on behalf of riders under the age of 18, acknowledging the risks involved.
Legal Rights Waived By signing, participants waive certain legal rights, including the right to sue for injuries sustained while riding.

Guide to Using Horse Riding

To proceed with your horseback riding experience, it is essential to complete the Horse Riding form accurately. This form outlines important safety and liability information. Follow these steps to fill it out correctly.

  1. Print your full name in the designated space for the undersigned.
  2. Print your child's name in the space provided for the minor's name.
  3. Fill in your complete street address, including city, state, and zip code.
  4. Read through the entire form carefully to understand the risks involved with horseback riding.
  5. Initial next to the statement regarding the protective helmet if you choose to decline wearing one.
  6. Ensure that a parent or guardian signs the form if the participant is under 18 years of age.
  7. Sign and date the form at the bottom to confirm your understanding and agreement.

Get Answers on Horse Riding

What is the purpose of the Horse Riding form?

The Horse Riding form serves as a legal agreement between participants and the stable. It outlines the inherent risks associated with horseback riding and requires participants to acknowledge these risks. By signing the form, participants agree to waive certain legal rights, including the right to sue for injuries or damages incurred during the riding experience.

What risks are associated with horseback riding?

Horseback riding is inherently dangerous. Horses can behave unpredictably, which may lead to serious injuries or even death. Common risks include:

  • Falling off the horse
  • Being kicked or bitten
  • Equipment failure, such as a saddle or bridle breaking
  • Unexpected movements from the horse

Participants must understand these risks before engaging in the activity.

What does it mean to assume the risk of injury?

By signing the form, participants voluntarily accept the risks associated with horseback riding. This means they acknowledge that injuries may occur and agree not to hold the stable or its employees liable for any accidents or injuries that may happen as a result of riding.

Can I sue the stable if I am injured while riding?

Signing the Horse Riding form waives the right to sue the stable for injuries. The agreement includes a release of liability, meaning participants cannot seek damages for injuries sustained during the riding experience, even if negligence is involved.

What should I do if my child is under 18?

If the rider is under 18 years old, a parent or guardian must read and sign the form on their behalf. It is essential for the adult to understand the risks and responsibilities involved in the horseback riding experience before giving consent.

Is wearing a helmet mandatory?

While it is highly recommended that all riders wear a protective helmet for safety, it is not mandatory. The form indicates that helmets are available and have been offered. If a participant chooses not to wear one, they must initial a section of the form to acknowledge their decision.

Common mistakes

Filling out a Horse Riding form may seem straightforward, but many people overlook critical details that can lead to complications later on. One common mistake is failing to provide complete names. When you fill out the section for your name and your child’s name, ensure that both are fully spelled out. Missing initials or nicknames can create confusion, especially in legal contexts.

Another frequent error is neglecting to include the correct address. The form requires your street address, city, state, and zip code. If any part of this information is incorrect or missing, it could lead to issues in communication or even legal notifications. Always double-check your address to ensure accuracy.

Many individuals also forget to read the entire agreement before signing. It’s easy to skim through the document, but this can lead to misunderstandings about what rights you are giving up. Taking the time to read the form carefully ensures you understand the implications of your signature.

Some people make the mistake of not acknowledging the risks involved in horseback riding. The form clearly states that riding is inherently dangerous, and failing to recognize this can lead to liability issues later. By signing, you confirm that you understand these risks, so it’s essential to take them seriously.

Another common oversight is the initialing of the helmet waiver. If you choose not to wear a helmet, you must explicitly indicate this by initialing the provided space. Skipping this step can lead to misunderstandings about your safety choices and may affect liability in case of an accident.

Lastly, parents or guardians often forget to sign on behalf of minors. If the person entering the agreement is under eighteen, a parent or guardian must read and sign the form. Neglecting this requirement can render the agreement invalid, which could lead to complications during your riding experience.

Documents used along the form

When participating in horse riding activities, several additional forms and documents may be required to ensure safety and compliance with regulations. These documents serve various purposes, from providing consent to acknowledging the inherent risks involved in horseback riding. Below is a list of commonly used forms alongside the Horse Riding form.

  • Parental Consent Form: This document is necessary for minors. It confirms that a parent or guardian has given permission for the child to participate in horse riding activities.
  • Health and Medical Information Form: Participants may need to disclose any medical conditions or allergies. This information helps instructors and staff ensure the safety of all riders.
  • Emergency Contact Form: This form collects contact information for individuals who can be reached in case of an emergency during the riding session.
  • Equipment Release Form: This document states that the participant understands the risks associated with using riding equipment and agrees to use it responsibly.
  • Insurance Waiver: Some stables may require proof of insurance or a waiver indicating that the participant is aware of their personal insurance coverage in case of injury.
  • Code of Conduct Agreement: Participants may need to agree to a set of rules and guidelines that promote safety and respect among riders and staff.
  • Photography Release Form: This form grants permission for the stable to take and use photographs of participants for promotional purposes.
  • Transportation Release Form: If transportation is provided to and from the riding location, this document releases the stable from liability during transit.
  • Rider Experience Level Assessment: This form assesses the rider's experience and skill level to ensure they are paired with appropriate horses and activities.

Completing these forms helps to create a safer and more organized riding experience. Each document plays a crucial role in managing risks and ensuring that all participants are well-informed and prepared for their horseback riding adventure.

Similar forms

  • Sports Participation Waiver: Similar to the Horse Riding form, this document releases the organizer from liability for injuries sustained during sports activities, acknowledging the inherent risks involved.
  • Adventure Activity Release: This form is used for activities like zip-lining or rock climbing. It outlines risks and requires participants to assume responsibility for injuries, similar to horseback riding.
  • Parental Consent Form: Often required for minors, this document allows parents to acknowledge risks associated with activities their children engage in, similar to the minor provisions in the Horse Riding form.
  • Event Liability Waiver: Common for events such as marathons or festivals, this form protects organizers from claims related to injuries, much like the protections offered in the Horse Riding form.
  • Fitness Class Waiver: Participants in fitness classes sign this document to acknowledge risks and waive the right to sue for injuries, paralleling the risk acknowledgment in the Horse Riding form.
  • Camping Liability Release: This form is used by campsites to inform campers of potential hazards and release the site from liability, akin to the risks associated with horseback riding.
  • Swimming Pool Waiver: This document informs pool users of risks and requires them to waive liability for injuries, similar to how the Horse Riding form addresses risks.
  • Motor Sports Release: Participants in motor sports events sign this to acknowledge the dangers and release organizers from liability, much like the Horse Riding form does for equestrian activities.
  • Travel Adventure Waiver: Used for guided tours and excursions, this document requires participants to accept risks and releases the company from liability, similar to the Horse Riding form’s structure.

Dos and Don'ts

When filling out the Horse Riding form, keep the following tips in mind:

  • Read the entire document carefully. Understanding the terms is essential before signing.
  • Provide accurate information. Ensure all names and addresses are correct to avoid issues later.
  • Initial where required. Pay attention to sections that ask for your initials, especially regarding helmet use.
  • Discuss any concerns. If you have questions about the risks or terms, ask before signing.
  • Do not rush. Take your time to review everything thoroughly before making your decision.
  • Do not ignore health disclosures. Be honest about any medical conditions that could affect your riding experience.
  • Do not forget to sign. Ensure your signature is included, as it indicates your agreement to the terms.

Following these guidelines will help ensure a smoother experience when filling out the Horse Riding form.

Misconceptions

Horseback riding is a beloved activity for many, but misconceptions often cloud its enjoyment and safety. Here are ten common misconceptions about horseback riding, along with clarifications to help riders make informed decisions.

  1. Horses are always gentle and safe. Many people believe that horses are inherently gentle creatures. However, horses can be unpredictable, and their behavior can change suddenly due to various factors.
  2. Only experienced riders can ride horses. While experience is beneficial, beginners can also enjoy horseback riding with proper instruction and supervision. Riding schools often cater to all skill levels.
  3. Helmets are optional. Some riders think that wearing a helmet is not necessary. In reality, helmets significantly reduce the risk of head injuries and are strongly recommended for all riders.
  4. All horses are suitable for all riders. Not every horse is a good match for every rider. Factors like size, temperament, and training level should be considered to ensure a safe riding experience.
  5. Horseback riding is a low-risk activity. Many underestimate the risks involved. Horseback riding can lead to serious injuries due to falls or unexpected horse behavior, making it important to acknowledge these risks.
  6. Once trained, a horse will always behave well. Horses can change their behavior over time due to various influences. Regular training and care are essential to maintain a horse's good behavior.
  7. Riding is just about sitting on the horse. Effective riding involves balance, coordination, and communication with the horse. It’s an active engagement that requires skill and practice.
  8. All riding instructors are equally qualified. Not all instructors have the same level of training or experience. It’s important to choose a qualified instructor who can provide safe and effective lessons.
  9. Horseback riding is only for children. People of all ages can enjoy horseback riding. Many adults find it to be a rewarding and therapeutic activity.
  10. Horses don’t require much care. Horses need regular care, including feeding, grooming, and veterinary attention. Proper care is essential for their health and well-being.

Understanding these misconceptions can enhance the horseback riding experience. Safety and proper education should always be a priority for both new and seasoned riders.

Key takeaways

When filling out and using the Horse Riding form, it is essential to keep the following key takeaways in mind:

  • Understand the Agreement: The form is a legal document that outlines the risks associated with horseback riding. By signing, you acknowledge that you are giving up certain legal rights, including the right to sue for injuries or damages.
  • Recognize the Risks: Horseback riding is inherently dangerous. You must be aware that horses can behave unpredictably, which may lead to serious injury or even death.
  • Assumption of Risk: By signing the form, you voluntarily accept the risks involved with riding. This includes any potential injuries that may arise from using the horse or equipment provided.
  • Indemnification Clause: The form includes a clause stating that you agree to indemnify the stable and its employees against any claims or damages that may arise from your riding experience.
  • Helmet Recommendation: It is highly recommended that all riders, especially children, wear a protective helmet. You may choose to decline this recommendation, but it is important to understand the associated risks.

Completing this form accurately and thoughtfully is crucial for ensuring a safe and enjoyable horseback riding experience. Make sure to read each section carefully and consult with a guardian if you are under eighteen.