Content Navigation

The New Mexico Credentialing Application form serves as a vital tool for healthcare professionals seeking to establish their credentials within the state's medical community. This comprehensive document collects essential information about the applicant, including their name, contact details, and various licenses held, such as MD, DO, or RN, among others. It requires applicants to disclose their specialties, citizenship status, and social security numbers, ensuring that all necessary identification is accurately captured. The form also includes sections for practice locations, office hours, and after-hours provisions, which are crucial for understanding the applicant's availability and service offerings. In addition, the application mandates the listing of professional references, allowing for a thorough evaluation of the applicant's performance and qualifications. With clear instructions and structured sections, the New Mexico Credentialing Application form aims to streamline the credentialing process while ensuring that all relevant information is gathered efficiently.

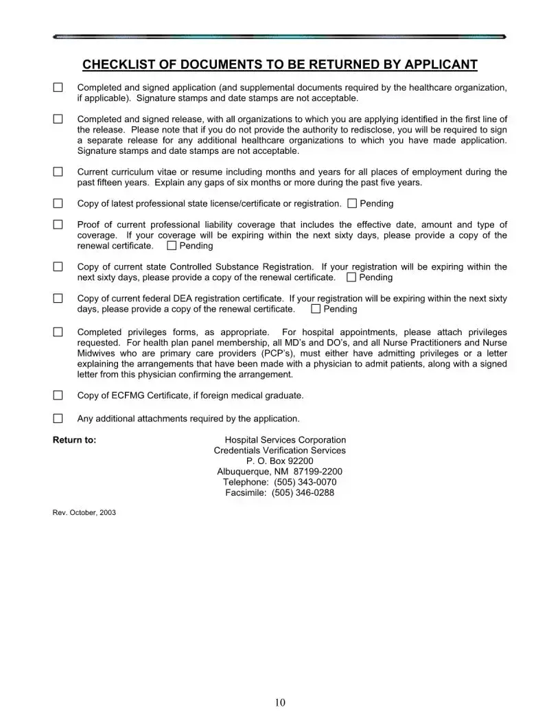
New Mexico Credentialing Application Example

File Breakdown

Fact Name Description
Governing Organizations The New Mexico Credentialing Application form is associated with the New Mexico Hospitals & Health Systems Association and the New Mexico Medical Society.
Application Purpose This form is designed for healthcare professionals seeking to obtain credentials to practice in New Mexico.
Required Information Applicants must provide personal details, including their name, date of birth, and social security number, along with professional credentials.
Primary Care Provider Status The application includes a question regarding whether the applicant is requesting to be credentialed as a primary care provider (PCP).
Professional References Applicants are required to list five professional peers who can attest to their performance over the last five years.
Governing Laws The credentialing process in New Mexico is governed by various state laws, including the New Mexico Medical Practice Act.

Guide to Using New Mexico Credentialing Application

Completing the New Mexico Credentialing Application form requires careful attention to detail. Each section of the form gathers important information about your professional background, qualifications, and practice details. After filling out the form, you will submit it for review, which will help ensure that you meet the necessary standards for credentialing in New Mexico.

  1. Obtain the Form: Download the New Mexico Credentialing Application form from the official website or request a physical copy if needed.
  2. Fill in Your Personal Information: Start with your full name, including last, first, middle, and any other names you have used. Provide your date of application.
  3. Indicate Your Licensure: Circle all applicable licenses you currently hold, such as MD, DO, or PA, and specify your specialty.
  4. Provide Demographic Information: Include your gender, citizenship status, Social Security number, and state tax ID number. Fill in your place and date of birth.
  5. Contact Information: Enter the details for your practice or group, including the name, effective date, street address, city, state, zip code, telephone number, and facsimile number. Also, provide your email address and answering service number.
  6. Mailing Address: If your current mailing address differs from your practice address, fill in the new address and contact details.
  7. Credentialing as a Primary Care Provider: Indicate whether you are requesting to be credentialed as a primary care provider and if you deliver babies.
  8. Billing Address: If applicable, provide a billing address and contact person’s details.
  9. Other Practice Locations: List any additional practice locations, using a separate page if necessary, along with their contact information.
  10. Home Address: Fill in your home address and contact details, including a pager number if applicable.
  11. Professional References: List five professional peers who can attest to your performance in the past five years. Include their names, titles, addresses, and contact numbers.
  12. Office Hours: Specify the office hours for your practice or group, including days and hours of operation.
  13. After Hours Provisions: Describe any provisions made for after-hours care.

Get Answers on New Mexico Credentialing Application

What is the New Mexico Credentialing Application form?

The New Mexico Credentialing Application form is a document used by healthcare professionals to apply for credentialing with various health care organizations in New Mexico. It collects essential information about the applicant's qualifications, licensure, and practice details.

Who needs to fill out this application?

This application is required for healthcare providers such as physicians, nurse practitioners, physician assistants, and other licensed practitioners seeking to be credentialed by hospitals or health systems in New Mexico.

What information is required on the application?

The application requires personal details, including:

  • Full name and any other names used
  • Type of license (e.g., MD, DO, RN)
  • Specialty
  • Contact information
  • Practice location details
  • Professional references

Additionally, you may need to provide your Social Security Number, state tax ID, and Medicare number.

Can I submit the application online?

Currently, the application must be completed and submitted in a paper format. Be sure to check with the specific healthcare organization for their submission guidelines.

How long does the credentialing process take?

The credentialing process can vary depending on the organization. Generally, it may take anywhere from a few weeks to several months. It is advisable to follow up with the organization for updates on your application status.

What should I do if I need to update my application?

If you need to update your application after submission, contact the healthcare organization directly. They will provide guidance on how to amend your application or submit additional information.

Are there any fees associated with the application?

Some healthcare organizations may charge a fee for processing your credentialing application. It is important to verify any potential fees with the organization to which you are applying.

What if I have a criminal history?

Having a criminal history does not automatically disqualify you from credentialing. However, it is essential to disclose any relevant information on your application. Each organization has its own policies regarding criminal history, and they will assess your application on a case-by-case basis.

What are the office hours for my practice?

When filling out the application, you will need to provide your practice's office hours. This includes the days and times your practice is open to patients. Ensure this information is accurate, as it helps organizations understand your availability.

Can I request to be credentialed as a primary care provider?

Yes, the application includes a section where you can indicate whether you are requesting to be credentialed as a primary care provider (PCP). Be sure to answer this question accurately, as it may affect your application review.

Common mistakes

Completing the New Mexico Credentialing Application form can be a straightforward process, but several common mistakes often lead to delays or complications. Awareness of these pitfalls can help ensure a smoother experience.

One frequent error is neglecting to provide all required personal information. Many applicants overlook sections such as place of birth or social security number. Each detail is crucial for the verification process. Missing information can lead to unnecessary delays in credentialing.

Another mistake involves inaccurate or incomplete contact information. It’s essential to list current phone numbers and email addresses. If the credentialing body cannot reach you, it may stall your application. Ensure that all contact details are correct and up-to-date.

Some applicants fail to indicate their specialty or areas of practice clearly. This information is vital for determining eligibility and for the appropriate assignment of credentials. Be specific about your specialty and any additional qualifications you hold.

Inconsistencies in naming can also create issues. For example, if an applicant uses different names in various sections, it can raise questions during the verification process. Consistency is key. Use the same name format throughout the application.

Additionally, many people forget to answer the questions about credentialing as a primary care provider or whether they deliver babies. These responses are not merely formalities; they significantly impact your application’s assessment. Be sure to respond to all questions thoroughly.

Providing outdated references is another common error. The application requires references from the past five years. Listing older references can lead to complications. Ensure your references are current and familiar with your recent professional performance.

Another mistake is failing to include additional practice locations if applicable. If you practice in multiple locations, list them clearly on a separate page. Omitting this information can lead to misunderstandings about your practice scope.

Finally, some applicants neglect to specify their office hours or after-hours provisions. This information is essential for understanding your availability and how you manage patient care. Be precise about your office hours and any arrangements for after-hours care.

By avoiding these common mistakes, applicants can facilitate a more efficient credentialing process. Attention to detail is crucial, and taking the time to ensure accuracy can save significant time and effort in the long run.

Documents used along the form

The New Mexico Credentialing Application form is a crucial document for healthcare professionals seeking to establish their credentials in the state. Along with this application, several other forms and documents are typically required to ensure a comprehensive review of the applicant's qualifications. Below is a list of these accompanying documents, each serving a specific purpose in the credentialing process.

  • Curriculum Vitae (CV): This document provides a detailed overview of the applicant's educational background, work experience, and professional achievements. It helps credentialing committees assess the applicant's qualifications and history.
  • Licensure Verification: This form confirms that the applicant holds a valid license to practice in their respective field. It is essential for ensuring compliance with state regulations and standards.
  • Malpractice Insurance Certificate: This document demonstrates that the applicant has active malpractice insurance coverage. It is important for protecting both the practitioner and the healthcare organization from potential legal claims.
  • Background Check Authorization: Applicants must often provide consent for a background check. This document allows the credentialing body to verify the applicant's criminal history and professional conduct.
  • National Practitioner Data Bank (NPDB) Report: This report contains information about any adverse actions taken against the applicant, such as malpractice claims or disciplinary actions. It is vital for evaluating the applicant's professional integrity.
  • Professional References: A list of professional peers who can vouch for the applicant's qualifications and performance is usually required. These references should have similar or higher levels of licensure and should not be current partners or associates.
  • Clinical Privileges Request Form: This form outlines the specific clinical privileges the applicant is requesting at the healthcare organization. It is essential for determining the scope of practice the applicant will be allowed to perform.
  • Continuing Education Certificates: Proof of completed continuing education courses is often necessary. This document shows that the applicant is committed to staying updated on the latest practices and developments in their field.
  • Employment History Verification: This form provides a summary of the applicant's previous employment, including positions held and responsibilities. It helps verify the accuracy of the information provided in the CV.

Each of these documents plays a vital role in the credentialing process, helping to ensure that healthcare professionals meet the necessary standards for practice. Collectively, they contribute to a thorough evaluation, promoting patient safety and quality care within the healthcare system.

Similar forms

  • Credentialing Application for Physicians: This document serves a similar purpose by collecting essential information about physicians applying for privileges at healthcare facilities. Like the New Mexico Credentialing Application, it includes personal details, professional qualifications, and practice locations.
  • Provider Enrollment Form: This form is used by healthcare providers to enroll in insurance plans. It requests similar information, such as personal identification, practice details, and licensing information, akin to the New Mexico Credentialing Application.
  • Medical Staff Application: This application is often required by hospitals and healthcare systems for staff privileges. It gathers information on education, training, and professional references, paralleling the structure and intent of the New Mexico Credentialing Application.
  • State Medical Board License Application: This document is necessary for obtaining a medical license within a state. It also collects personal and professional information, including education and training history, similar to the New Mexico Credentialing Application.

Dos and Don'ts

When filling out the New Mexico Credentialing Application form, it is essential to approach the task with care and attention to detail. Below are some recommendations on what to do and what to avoid during this process.

  • Do read the entire application form thoroughly before starting to fill it out. Understanding all sections will help ensure you provide the necessary information.
  • Do use clear and legible handwriting or type your responses. This will make it easier for reviewers to read your application.
  • Do double-check all personal information, including your name, date of birth, and Social Security Number, for accuracy.
  • Do provide complete and honest answers to all questions. Incomplete or misleading information can delay the credentialing process.
  • Do attach any required documents, such as proof of licensure or references, as specified in the application instructions.
  • Don't leave any sections blank unless instructed to do so. If a question does not apply to you, indicate that clearly.
  • Don't rush through the application. Taking your time to ensure everything is correct will help avoid mistakes that could lead to complications.

By following these guidelines, you can help ensure a smoother credentialing process in New Mexico. Attention to detail and accuracy are crucial in presenting your qualifications effectively.

Misconceptions

  • Misconception 1: The application is only for physicians.

    This form is not limited to physicians. It is designed for a variety of healthcare professionals, including nurse practitioners, physician assistants, and other licensed practitioners. All eligible healthcare providers can use this application to seek credentialing.

  • Misconception 2: The application process is the same for all healthcare organizations.

    Each healthcare organization may have different requirements and processes for credentialing. While the application form provides a standard format, individual organizations may request additional documentation or have specific guidelines that applicants must follow.

  • Misconception 3: Once submitted, the application cannot be modified.

    Applicants can make changes to their application before it is processed. If an applicant realizes they need to update information after submission, they should contact the credentialing office of the organization to discuss how to proceed.

  • Misconception 4: The application guarantees credentialing approval.

    Completing the application does not ensure that credentialing will be granted. Approval is contingent upon a review of the applicant's qualifications, experience, and compliance with the specific criteria set by the healthcare organization.

Key takeaways

When filling out the New Mexico Credentialing Application form, keep the following key takeaways in mind:

  • Provide Accurate Information: Ensure that all personal and professional details are correct. This includes your name, contact information, and license types.
  • Complete All Sections: Fill out every section of the application. Missing information can delay the credentialing process.
  • List Professional References: Include five professional peers who can vouch for your performance. They should have the same or higher level of licensure.
  • Include Additional Practice Locations: If you have multiple practice locations, attach a separate page detailing these addresses and contact information.
  • Be Mindful of Deadlines: Submit your application on time to avoid any disruptions in your credentialing process.