Content Navigation

The Texas residential property affidavit T-47 form plays a crucial role in real estate transactions within the state, serving as a vital tool for both buyers and sellers. This form is primarily used to affirm the ownership of a property and to disclose any existing encumbrances or liens that may affect the title. By providing a sworn statement regarding the property's current condition and any potential claims against it, the T-47 form helps facilitate a smoother transfer of ownership. It is typically completed by the seller, who must provide accurate information about the property and its status. The affidavit must be notarized, ensuring the authenticity of the signatures and the accuracy of the statements made. Understanding the importance of this form is essential for anyone involved in a residential property transaction in Texas, as it helps to clarify the legal standing of the property and protects the interests of all parties involved.

Texas residential property affidavit T-47 Example

 

 

 

 

 

 

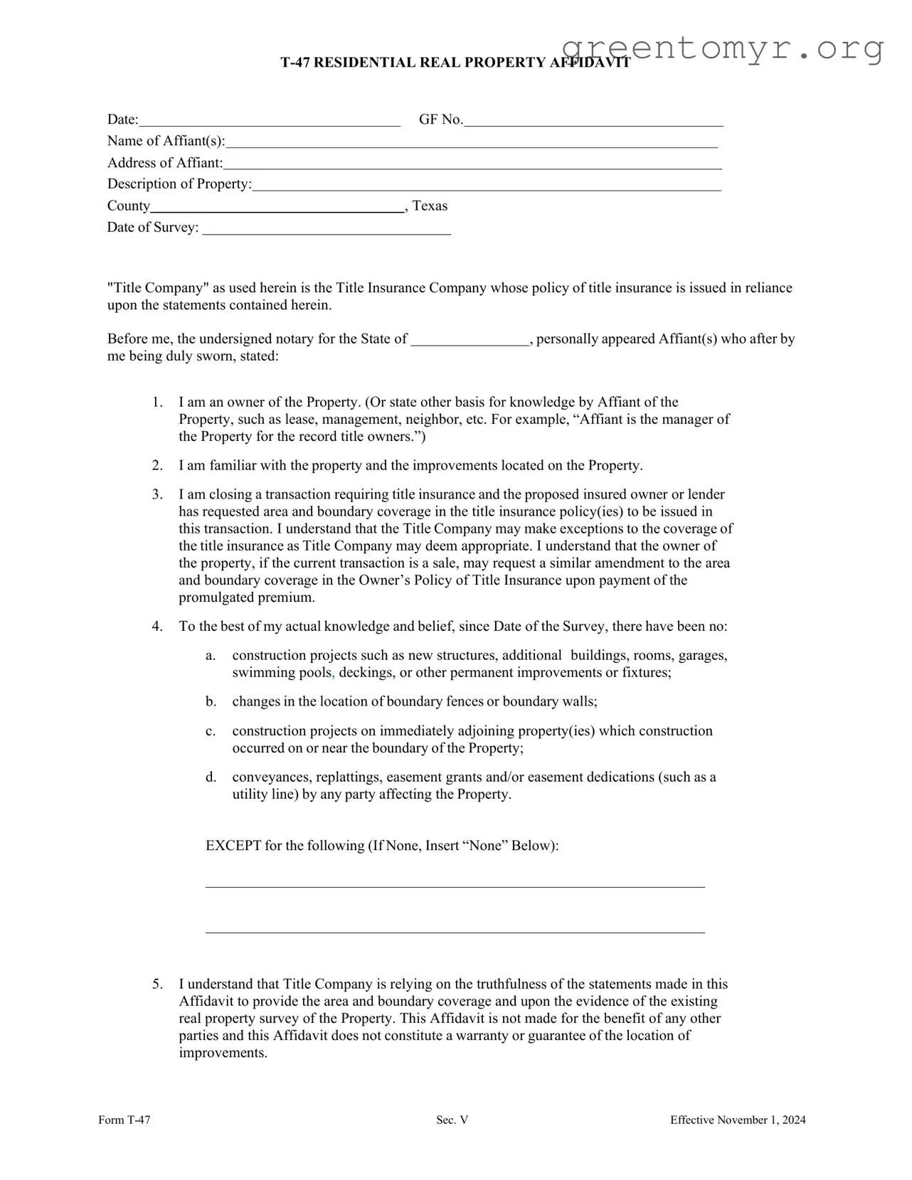
T-47 RESIDENTIAL REAL PROPERTY AFFIDAVIT

Date:

 

 

 

GF No.

 

Name of Affiant(s):

 

 

 

 

 

 

 

Address of Affiant:

 

 

 

 

 

 

 

Description of Property:

 

 

 

 

 

 

County

 

 

 

 

, Texas

 

Date of Survey: __________________________________

"Title Company" as used herein is the Title Insurance Company whose policy of title insurance is issued in reliance upon the statements contained herein.

Before me, the undersigned notary for the State of

 

, personally appeared Affiant(s) who after by

me being duly sworn, stated:

 

 

1.I am an owner of the Property. (Or state other basis for knowledge by Affiant of the Property, such as lease, management, neighbor, etc. For example, “Affiant is the manager of the Property for the record title owners.”)

2.I am familiar with the property and the improvements located on the Property.

3.I am closing a transaction requiring title insurance and the proposed insured owner or lender has requested area and boundary coverage in the title insurance policy(ies) to be issued in this transaction. I understand that the Title Company may make exceptions to the coverage of the title insurance as Title Company may deem appropriate. I understand that the owner of the property, if the current transaction is a sale, may request a similar amendment to the area and boundary coverage in the Owner’s Policy of Title Insurance upon payment of the promulgated premium.

4.To the best of my actual knowledge and belief, since Date of the Survey, there have been no:

a.construction projects such as new structures, additional buildings, rooms, garages, swimming pools, deckings, or other permanent improvements or fixtures;

b.changes in the location of boundary fences or boundary walls;

c.construction projects on immediately adjoining property(ies) which construction occurred on or near the boundary of the Property;

d.conveyances, replattings, easement grants and/or easement dedications (such as a utility line) by any party affecting the Property.

EXCEPT for the following (If None, Insert “None” Below):

___________________________________________________________________

___________________________________________________________________

5.I understand that Title Company is relying on the truthfulness of the statements made in this Affidavit to provide the area and boundary coverage and upon the evidence of the existing real property survey of the Property. This Affidavit is not made for the benefit of any other parties and this Affidavit does not constitute a warranty or guarantee of the location of improvements.

Form T-47

Sec. V

Effective November 1, 2024

6.I understand that I have no liability to Title Company should the information in this Affidavit be incorrect other than information that I personally know to be incorrect and which I do not disclose to the Title Company.

I declare under penalty of perjury that theforegoing is true and correct.

Signed:

__________________________________________

Affiant

I declare under penalty of perjury that theforegoing is true and correct.

Signed:

_________________________________________

Affiant

SWORN AND SUBSCRIBED thisday of, 20 .

________________________________________

Notary Public

Form T-47

Sec. V

Effective November 1, 2024

File Breakdown

Fact Name Description
Purpose The T-47 form is used to provide a sworn statement regarding the property and its boundaries.
Governing Law The form is governed by Texas Property Code Section 12.003.
Who Uses It Homeowners, sellers, and lenders typically use the T-47 form during real estate transactions.
Affidavit Requirement The T-47 form serves as an affidavit to confirm the accuracy of property descriptions.
Filing Process The completed T-47 form must be filed with the county clerk's office.
Impact on Title Insurance Title insurance companies often require the T-47 form to issue a policy.
Signature Requirement The form must be signed by the property owner in the presence of a notary public.
Validity Period The T-47 form is generally valid for a period of six months from the date of signing.
Boundary Disputes The form can help resolve boundary disputes by providing a sworn statement of property lines.
Availability The T-47 form can be obtained from real estate agents, title companies, or online legal resources.

Guide to Using Texas residential property affidavit T-47

Once you have the Texas residential property affidavit T-47 form ready, you will need to fill it out accurately to ensure it is processed without any issues. Follow these steps carefully to complete the form.

  1. Begin by entering the property owner's name at the top of the form.
  2. Provide the property address, including the street address, city, state, and zip code.
  3. Fill in the legal description of the property. This can usually be found on the property deed or tax records.
  4. Indicate the date of acquisition of the property by writing the exact date you purchased it.
  5. Complete the section regarding any liens or encumbrances on the property, if applicable.
  6. Sign the form in the designated area, confirming that all information provided is accurate.
  7. Date your signature to validate the affidavit.

After completing the form, make sure to review all entries for accuracy. Once confirmed, you can submit the form to the appropriate county office or as instructed in your specific situation.

Get Answers on Texas residential property affidavit T-47

What is the Texas residential property affidavit T-47 form?

The Texas residential property affidavit T-47 form is a document used in real estate transactions in Texas. It is typically required when a property owner is selling or refinancing their residential property. The form serves to confirm the property’s current condition and to provide information about any improvements made to the property.

Who needs to complete the T-47 form?

The T-47 form must be completed by the property owner or seller. It is often required by lenders, title companies, or buyers during the closing process. Completing the form accurately is essential to ensure a smooth transaction.

What information is included in the T-47 form?

The T-47 form includes several key pieces of information, such as:

  • The property owner's name and contact information
  • A description of the property, including its address
  • Details about any improvements or alterations made to the property
  • Affirmation that the property is free of any undisclosed liens or claims

This information helps establish the property's status and ensures that all parties involved have a clear understanding of its condition.

How is the T-47 form submitted?

The completed T-47 form is typically submitted to the title company handling the transaction. The title company will review the form as part of the closing process. It is important to ensure that the form is filled out completely and accurately before submission to avoid delays.

Common mistakes

Filling out the Texas residential property affidavit T-47 form can be a straightforward process, but many individuals make common mistakes that can lead to delays or complications. One frequent error is failing to provide accurate property descriptions. The property’s legal description must match what is recorded in the county’s appraisal district. An incorrect description can cause issues in the transfer of ownership.

Another mistake involves not signing the affidavit. While it may seem obvious, some individuals forget to sign the document, rendering it invalid. A missing signature can lead to delays in processing and may require the form to be submitted again.

People often overlook the need for notarization. The T-47 form must be notarized to be considered valid. Without this step, the affidavit cannot be accepted by title companies or lenders, which can halt the closing process.

Inaccurate information about the property’s ownership can also pose problems. Some individuals may mistakenly list the wrong owner or fail to indicate whether the property is held in a trust or by an LLC. This can create confusion and complicate the legal standing of the property.

Another common error is neglecting to check for prior liens or encumbrances. If there are existing liens on the property, these must be disclosed in the affidavit. Failing to do so can lead to legal repercussions and financial liability.

People sometimes misinterpret the purpose of the T-47 form. It is not merely a formality; it serves as a declaration of the property’s current condition and ownership status. Misunderstanding its significance can lead to incomplete or inaccurate submissions.

Providing outdated or incorrect contact information is another frequent mistake. Individuals should ensure that their contact details are current to facilitate communication with title companies or other parties involved in the transaction.

Some individuals may also rush through the form, resulting in incomplete responses. Each section of the T-47 must be filled out thoroughly. Leaving blanks can raise red flags and delay processing.

Additionally, failing to keep a copy of the completed affidavit for personal records is a common oversight. Having a copy can be useful for future reference or in case any disputes arise regarding the property.

Lastly, individuals sometimes ignore deadlines associated with submitting the T-47 form. Being aware of these timelines is crucial to ensure that the transaction proceeds smoothly. Missing a deadline can create unnecessary complications and stress.

Documents used along the form

The Texas residential property affidavit T-47 form is an important document used in real estate transactions, particularly in relation to property title and ownership. It serves to clarify the ownership of a property and is often accompanied by several other forms and documents that facilitate the transaction process. Below is a list of commonly used forms that complement the T-47 affidavit.

  • Warranty Deed: This document transfers ownership of real property from one party to another, providing a guarantee that the property is free from liens or claims, except those disclosed.
  • Quitclaim Deed: This form allows an individual to transfer their interest in a property without making any guarantees about the title. It is often used to clear up title issues.
  • Title Commitment: Issued by a title company, this document outlines the terms under which a title insurance policy will be issued, including any existing liens or encumbrances on the property.
  • Property Survey: A detailed drawing or map of a property that shows its boundaries, improvements, and any easements. This document is crucial for understanding property lines.
  • Closing Disclosure: This form provides a detailed account of the final terms of the loan, including all costs associated with the transaction. It must be provided to the buyer at least three days before closing.
  • Promissory Note: A legal document in which the borrower agrees to repay a loan under specified terms. It outlines the amount borrowed, interest rate, and repayment schedule.
  • Loan Application: This form is completed by the borrower to apply for a mortgage. It includes personal financial information and details about the property being purchased.
  • Affidavit of Title: A sworn statement confirming that the seller has clear title to the property and disclosing any known issues that could affect ownership.
  • Homeowners Association (HOA) Documents: These documents provide information about the rules and regulations of the HOA, including fees and restrictions that may apply to the property.

Understanding these documents can greatly enhance the clarity and efficiency of real estate transactions in Texas. Each form plays a specific role in ensuring that all parties are informed and that the transfer of property is conducted smoothly and legally.

Similar forms

The Texas residential property affidavit T-47 form serves a specific purpose in real estate transactions, particularly in clarifying ownership and the status of a property. Several other documents share similarities with the T-47 form, each playing a vital role in property transactions. Below is a list of nine documents that are comparable to the T-47 form, along with a brief explanation of how they are similar.

  • Affidavit of Title: This document confirms the seller's ownership and outlines any claims or liens against the property, similar to how the T-47 verifies property ownership and encumbrances.
  • Property Deed: A property deed transfers ownership from one party to another. Like the T-47, it is a legal document that establishes who holds title to the property.
  • Title Insurance Policy: This policy protects against losses due to defects in title. Both the T-47 and title insurance address ownership issues and potential claims against the property.
  • Closing Disclosure: This document details the final terms of a mortgage loan. It shares similarities with the T-47 in that both are critical for ensuring all parties are aware of the financial implications of the transaction.
  • Warranty Deed: A warranty deed guarantees that the seller has clear title to the property. Similar to the T-47, it provides assurance regarding ownership and potential claims.
  • Quitclaim Deed: This type of deed transfers whatever interest the grantor has in the property without warranties. Like the T-47, it serves to clarify ownership but does so with less assurance.
  • Real Estate Purchase Agreement: This agreement outlines the terms of the sale. Both documents are foundational in establishing the rights and responsibilities of the parties involved in a real estate transaction.
  • Property Survey: A property survey delineates the boundaries and physical features of the property. While the T-47 focuses on ownership, both documents are essential for confirming property details.
  • Mortgage Agreement: This document details the loan terms for purchasing a property. Like the T-47, it is crucial for understanding the financial obligations tied to property ownership.

Dos and Don'ts

When filling out the Texas residential property affidavit T-47 form, it’s important to follow certain guidelines to ensure accuracy and compliance. Here’s a list of things to do and avoid.

  • Do read the instructions carefully before starting to fill out the form.
  • Do provide accurate and complete information to avoid delays.
  • Do double-check all entries for spelling and numerical accuracy.
  • Do sign and date the form in the appropriate sections.
  • Don't leave any required fields blank; fill them in as needed.
  • Don't use abbreviations or shorthand that could cause confusion.
  • Don't submit the form without making a copy for your records.

Following these guidelines can help ensure a smooth process when dealing with the T-47 form.

Misconceptions

The Texas residential property affidavit T-47 form is often misunderstood. Here are nine common misconceptions about this form, along with clarifications to help you better understand its purpose and use.

  • The T-47 form is only for sellers. This is incorrect. The T-47 form can be utilized by both buyers and sellers to affirm the status of the property and its boundaries.
  • The form is optional. In many real estate transactions, the T-47 form is required by lenders to ensure accurate title insurance coverage. Not using it can lead to complications.
  • The T-47 only applies to residential properties. While it is primarily used for residential properties, it can also be relevant for certain types of commercial properties depending on the situation.
  • Filling out the T-47 is a simple process. Although the form is straightforward, it requires careful attention to detail. Inaccuracies can lead to title issues or disputes later.
  • Once submitted, the T-47 cannot be changed. In fact, if errors are discovered after submission, it is possible to amend the affidavit, but this process must be followed correctly.
  • The T-47 form is the same as a survey. This is a misconception. The T-47 is an affidavit that verifies property boundaries, while a survey provides a detailed map and measurements of the property.
  • All lenders accept the T-47 form. Not all lenders have the same requirements. Some may require additional documentation or specific forms, so it is essential to check with the lender.
  • The T-47 form guarantees clear title. While it helps affirm property boundaries and ownership, it does not guarantee that there are no other claims or liens against the property.
  • Anyone can fill out the T-47 form. While homeowners can complete the form, it is advisable to consult with a real estate professional or attorney to ensure accuracy and compliance with legal standards.

Understanding these misconceptions can help individuals navigate the complexities of real estate transactions in Texas more effectively. Proper use of the T-47 form is essential for protecting property rights and ensuring smooth transactions.

Key takeaways

Filling out the Texas residential property affidavit T-47 form can seem daunting, but understanding its key aspects can simplify the process. Here are some important takeaways to consider:

  • The T-47 form is primarily used to confirm property ownership and establish the boundaries of a residential property.
  • It is crucial to provide accurate information, as any discrepancies could lead to delays or complications in property transactions.
  • Both the seller and the buyer should review the form together to ensure all details are correct and agreed upon.
  • Make sure to sign the affidavit in the presence of a notary public; this step is essential for the form to be legally binding.
  • Keep a copy of the completed T-47 form for your records, as it may be needed for future reference or transactions.
  • Be aware that the T-47 form may be required by lenders during the mortgage process, so it’s wise to have it ready early.
  • If you have questions or uncertainties while filling out the form, consider seeking assistance from a real estate professional or legal advisor.